天文观测表明暗物质在宇宙物质中占据很大比例,但是暗物质本质是什么仍然是现代物理学中的未解之谜。传统的暗物质直接探测方法对轻质量暗物质的灵敏度较低。近日,北京大学物理学院技术物理系李奇特、周辰和李强研究团队提出了利用宇宙线缪子来尝试直接探测轻质量暗物质的新方法。
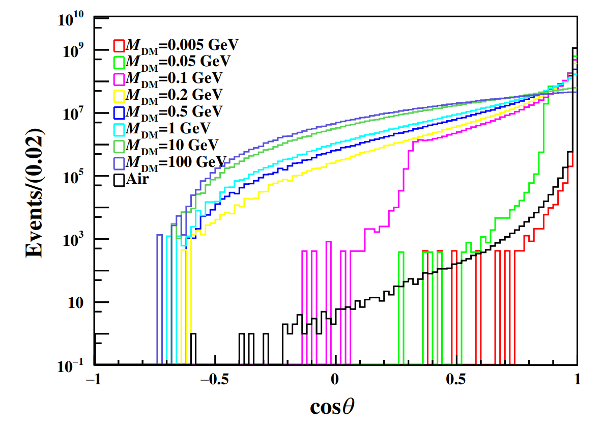
缪子是标准模型第二代轻子,当它穿过物质时会发生散射,散射角度分布与物质的性质密切相关。通过测量缪子散射前后的轨迹变化,就可以对被探测物质进行成像。研究团队创新性地提出,如果缪子穿过的物质中存在暗物质,那么缪子就有可能与暗物质发生相互作用而出现异常的散射行为。通过系统测量这种散射异常,有望实现对轻质量暗物质的直接探测。
该实验项目被命名为PKMu (Probing and Knocking with Muon),旨在利用缪子探测器来直接探测轻质量暗物质。实验方案借助并推广了缪子散射成像的算法,通过测量入射和出射缪子轨迹的夹角和散射点等信息,来探测缪子与灵敏体积内暗物质可能的相互作用。研究团队初步设计的宇宙射线缪子散射探测系统由位置灵敏的多层气体电子倍增器(GEM)和阻板室气体室(RPC)组成。
该研究提出的利用缪子探测暗物质的新思路,开辟了暗物质探测的新方向,有望在轻质量暗物质探测领域取得进展,将有助于推动我们对暗物质性质的理解。该项目探测系统还有望推广到更多前沿应用和基础研究领域,包括缪子与电子的反常相互作用探测,宇宙射线多缪子簇射测量等。
相关研究成果以"北京大学关于缪子成像和暗物质探索实验的提议"(Proposed Peking University muon experiment for muon tomography and dark matter search)为题,于2024年7月19日在线发表于国际权威物理学期刊《物理评论D》(Physical Review D)。博士研究生余旭东为第一作者,李奇特高级工程师、周辰研究员和李强教授为共同通讯作者,其他主要作者还有硕士研究生刘承恩、本科生王子健和冯一擎等。该项研究得到了国家自然科学基金的资助。
论文链接:https://doi.org/10.1103/PhysRevD.110.016017

图1: 北京大学研究团队提出的利用缪子散射成像装置探寻暗物质示意图

图2: 北京大学研究团队对不同质量暗物质对缪子散射角分布的模拟结果