原子核作为一个多体量子系统,它的形状由构成原子核的核子以及它们之间的相互作用确定。如果原子核的中子和质子正好填满壳层,那原子核将是球形的。随着核子数的增加,价核子之间的长程相互作用将使原子核偏离球对称形状而具有一定的形变。在这种情况下,大部分的原子核具有轴对称或反射对称性的四极形变。当位于一些特殊轨道上的核子发生强关联后,理论预言原子核会具有一些新的特殊形状(“梨”形,“香蕉”形和“金字塔”形等)。这些特殊的形状所反映的新对称性或者对称性破缺蕴含着丰富的核结构信息,不仅对原子核结构研究意义重大,而且对寻找超出标准模型的新物理也有着非常重要的意义。
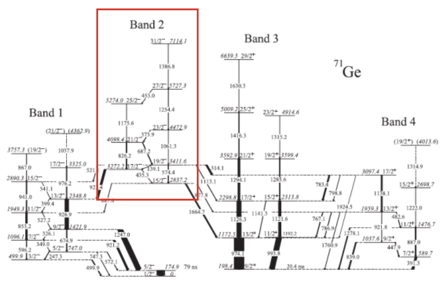
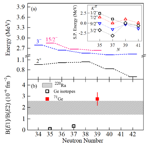
近日,北京大学物理学院技术物理系、核物理与核技术国家重点实验室徐川、华辉课题组与合作者在质量数A~70核区原子核八极特性(反映原子核空间反演对称性破缺)的研究中取得新进展。徐川、华辉课题组和合作者利用南非iThemba LABS国家实验室加速器提供的alpha束流,通过alpha + Ge-74熔合蒸发反应布居了Ge-71核的高激发能级,测量了退激的gamma射线。在Ge-71核中首次发现了建立在15/2−态上的负宇称集体带以及该集体带馈入到正宇称带的增强的电偶极跃迁(见图1)。通过对这个负宇称集体带结构的研究(见图2)表明它是一个八极转动带,这是在Ge同位素中首次观测到八极转动带。研究发现在70质量区,较强的八极关联出现在中子数N = 40附近,而不是之前人们认为的八极驱动核子幻数34附近,这有助于人们深入理解70质量区的空间反射对称性破缺特征和机制。

图1: 本研究建立的Ge-71能级纲图。加红框的为新发现的八极转动带。

图2: 部分奇质量数Ge同位素的激发能级和B(E1)/B(E2)实验值
相关研究成果以“First evidence of an octupole rotational band in Ge isotopes”为题,以快报(Letter)形式在线发表于《物理评论C》(Physical Review C)。
在此项研究工作中,北京大学物理学院2019届博士毕业生、深圳综合粒子设施研究院工程师王春光和北京大学物理学院2017届博士毕业生、中国科学院理论物理研究所博士后韩蕊(现为芬兰于韦斯屈莱大学博士后)为论文共同第一作者,徐川和华辉为共同通讯作者。国内合作单位包括深圳综合粒子设施研究院、中国科学院理论物理研究所、山东大学(威海)、中国科学院大学、中国科学院近代物理研究所、湖南师范大学,国外合作单位包括南非iThemba LABS国家实验室和俄罗斯杜布纳联合核子研究所(Joint Institute for Nuclear Research, Dubna)等科研单位。此项研究工作得到了国家重点研发计划、国家自然科学基金等项目的支持。
论文原文链接:https://journals.aps.org/prc/abstract/10.1103/PhysRevC.106.L011303