近日,北京大学物理学院技术物理系、核物理与核技术国家重点实验室裴俊琛课题组与合作者针对超重元素合成中的束流能量选取这一关键问题研究取得了系列重要进展。
当前核物理学家已经填满了元素周期表第7周期。合成第8周期的第119号超重新元素正成为国际竞争的热点,也是我国核物理学界关注的大事。实验上合成新的超重元素极其困难,往往一年才可能观测到1个事例。合成超重新元素所采用的弹靶组合选择有限,关键问题在于理论上要可靠的推断出最优的束流能量。往往束流能量相差2MeV,合成截面会下降一半。所以需要非常慎重的选取超重元素合成的碰撞反应能量,而理论模型存在很大的不确定度。到目前为止,德国GSI,日本RIKEN等主要实验室经过多年实验也未成功。这对中国科学家既是挑战也是一个机遇。
在超重元素合成中,反应Q值的理论误差很大,直接影响了束流能量的选取。这需要精确可靠的未知超重核的质量。目前最重的超重核虽然已经到了118号元素,但没有超重核质量的实验值。针对这个问题,课题组把超重核区的α衰变能做为理论约束,优化了扩展的能量密度泛函,得到了精确的微观超重核质量。通常所采用的宏观-微观模型到了超重区质量误差有4MeV。该工作的结果与AME2020质量表很接近,误差在1MeV以内。经过系统修正后可以得到更精确的超重核质量和反应Q值。除了反应Q值的可靠推断外,精确的超重核质量对计算熔合形成的复合核存活概率以及基于α衰变能来直接鉴别新元素与新核素的也很关键。相关成果发表在“High quality microscopic nuclear masses of superheavy nuclei”,D Guan, J Pei,Phys. Lett. B 851, 138578(2024)。其中第一作者管大为是2024届博士毕业生。

图1:超重元素α衰变能的预言
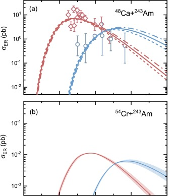
超重元素合成的另一个重要不确定度是熔合生成的高激发复合核的存活概率计算,其中复合核的裂变位垒是存活概率计算的核心问题。裴俊琛等人曾首次提出微观计算能量依赖的超重复合核的裂变位垒(J.Pei, et al., Phys. Rev. Lett. 102, 192501 (2009))。在高激发时,不同超重复合核的裂变位垒的能量相关性很不同。经过多年发展,最近课题组实现了能量依赖的非轴对称形状的裂变位垒计算,并把微观计算的蒸发多个中子后的裂变存活概率与合作者计算的弹靶熔合截面结合给出了最优的合成超重119号新元素的最优反应能量,比传统的宏观微观模型给出的最优能量高了3.5 MeV。相关工作发表在“Survival probabilities of compound superheavy nuclei towards element 119”,Y Qiang, XQ Deng, Y Shi, CY Qiao, J Pei,Phys. Lett. B 858, 139057(2024)。其中第一作者强雨为北大博雅博士后,合作者还包括国科大的邓祥泉博士,哈工大的石跃教授,河南师大的乔春源老师。


图2:超重元素合成的能量与剩余截面
超重核由于强大的库仑能而改变核物质密度分布,从而改变壳能级结构,因而需要微观自洽计算给出可靠的理论指引。课题组在这方面有多年积累和特色优势,将为进一步减少超重元素合成的理论不确定度发挥重要作用。裴俊琛研究员作为上述工作的通讯作者,近期多次参加了国内超重元素合成的理论实验协作攻关交流,得到了国内同行们的有益建议,在此一并致谢。